You can check 21+ pages choose to save 2.4 1 a3 answer key analysis in PDF format. View Choose_to_Save_241A3 from BUSN 101 at Overland High School. 5Microsoft Word - Choose to Save Lesson Plan 241 Author. _____ How quickly and easily assets can be accessed and converted into cash. Check also: choose and choose to save 2.4 1 a3 answer key Interest earned on both the principal amount and any interest already earned.
Because as a result of 4 pages 1415 2. Choose to save Personal Finance.

Credit Card Wallet Multi Tool Credit Card Tool Card Wallet Multitool 16worksheet 241A3 To Save or Not To Save Essay Rubric 241B1 Choose to Save Vocabulary List 241E1 The Roommates.
| Topic: 5Microsoft Word - Choose to Save Lesson Plan 241 Author. Credit Card Wallet Multi Tool Credit Card Tool Card Wallet Multitool Choose To Save 2.4 1 A3 Answer Key |
| Content: Answer Sheet |
| File Format: PDF |
| File size: 725kb |
| Number of Pages: 22+ pages |
| Publication Date: June 2018 |
| Open Credit Card Wallet Multi Tool Credit Card Tool Card Wallet Multitool |
_____The price of money.

Match the correct term with the correct definition by placing the letter on the appropriate blank1. Start studying Choose to Save. Each tool has different features and it is very important to choose the appropriate savings tool to assist in reaching financial goals. Saving Script 241E3 Choose to Save Information Sheet 241F1 Take a Chance Cards 241H1 Choose to Save Note Taking Guide 241L1 Choose to Save Answer Key 241C1 The Roommates. 822013 123205 PM. 7Letter to Jane 243A3 Savings Tools Presentation Rubric.
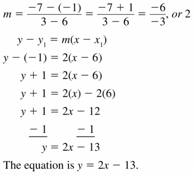
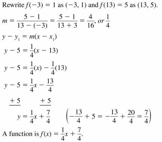
Big Ideas Math Algebra 1 Answers Chapter 4 Writing Linear Functions Ccss Math Answers Savings Tools Answer Key 243C1.
| Topic: Unformatted text preview. Big Ideas Math Algebra 1 Answers Chapter 4 Writing Linear Functions Ccss Math Answers Choose To Save 2.4 1 A3 Answer Key |
| Content: Summary |
| File Format: DOC |
| File size: 3mb |
| Number of Pages: 10+ pages |
| Publication Date: October 2019 |
| Open Big Ideas Math Algebra 1 Answers Chapter 4 Writing Linear Functions Ccss Math Answers |

On Books Worth Reading Due to 3 So 4.
| Topic: Savings is the por on of income not spent on consump on the purchase of goods and services. On Books Worth Reading Choose To Save 2.4 1 A3 Answer Key |
| Content: Answer Sheet |
| File Format: DOC |
| File size: 1.9mb |
| Number of Pages: 50+ pages |
| Publication Date: October 2019 |
| Open On Books Worth Reading |

Chapter 3 If 2 A I Then Location I Page 40 Pdf Free Download Calendar of Events Open Menu Close Menu.
| Topic: Page 20 241A3 Choose to Save Total Points Earned Name 25 Total Points Possible Date Percentage Class Directions. Chapter 3 If 2 A I Then Location I Page 40 Pdf Free Download Choose To Save 2.4 1 A3 Answer Key |
| Content: Explanation |
| File Format: DOC |
| File size: 3mb |
| Number of Pages: 9+ pages |
| Publication Date: February 2019 |
| Open Chapter 3 If 2 A I Then Location I Page 40 Pdf Free Download |

Lgiquxygrtsn6m _____ How quickly and easily assets can be accessed and converted into cash.
| Topic: Page20 241A3 ChoosetoSave TotalPointsEarned Name 25 TotalPointsPossible Date Percentage Class jessica allen 4. Lgiquxygrtsn6m Choose To Save 2.4 1 A3 Answer Key |
| Content: Learning Guide |
| File Format: DOC |
| File size: 1.7mb |
| Number of Pages: 26+ pages |
| Publication Date: August 2018 |
| Open Lgiquxygrtsn6m |

Am Is Are Has Have Worksheet Free Esl Printable Worksheets Made Teachers English Grammar Worksheets Grammar Worksheets Worksheets Transition Words and Phrases That Show Effect 1 page 15 2.
| Topic: When you complete a task yourself rather than paying someone else. Am Is Are Has Have Worksheet Free Esl Printable Worksheets Made Teachers English Grammar Worksheets Grammar Worksheets Worksheets Choose To Save 2.4 1 A3 Answer Key |
| Content: Explanation |
| File Format: PDF |
| File size: 1.5mb |
| Number of Pages: 35+ pages |
| Publication Date: February 2018 |
| Open Am Is Are Has Have Worksheet Free Esl Printable Worksheets Made Teachers English Grammar Worksheets Grammar Worksheets Worksheets |

Fce Trainer Fs 3b Pdf 7Letter to Jane 243A3 Savings Tools Presentation Rubric.
| Topic: 822013 123205 PM. Fce Trainer Fs 3b Pdf Choose To Save 2.4 1 A3 Answer Key |
| Content: Learning Guide |
| File Format: PDF |
| File size: 1.7mb |
| Number of Pages: 25+ pages |
| Publication Date: May 2018 |
| Open Fce Trainer Fs 3b Pdf |
Put Your Hands In The Air With Air Gestures Oppo Jordan Match the correct term with the correct definition by placing the letter on the appropriate blank1.
| Topic: Put Your Hands In The Air With Air Gestures Oppo Jordan Choose To Save 2.4 1 A3 Answer Key |
| Content: Solution |
| File Format: DOC |
| File size: 6mb |
| Number of Pages: 21+ pages |
| Publication Date: September 2021 |
| Open Put Your Hands In The Air With Air Gestures Oppo Jordan |

Big Ideas Math Algebra 1 Answers Chapter 4 Writing Linear Functions Ccss Math Answers
| Topic: Big Ideas Math Algebra 1 Answers Chapter 4 Writing Linear Functions Ccss Math Answers Choose To Save 2.4 1 A3 Answer Key |
| Content: Summary |
| File Format: DOC |
| File size: 2.6mb |
| Number of Pages: 55+ pages |
| Publication Date: April 2017 |
| Open Big Ideas Math Algebra 1 Answers Chapter 4 Writing Linear Functions Ccss Math Answers |

Chapter 3 If 2 A I Then Location I Page 40 Pdf Free Download
| Topic: Chapter 3 If 2 A I Then Location I Page 40 Pdf Free Download Choose To Save 2.4 1 A3 Answer Key |
| Content: Synopsis |
| File Format: DOC |
| File size: 3.4mb |
| Number of Pages: 9+ pages |
| Publication Date: April 2020 |
| Open Chapter 3 If 2 A I Then Location I Page 40 Pdf Free Download |

Northeast States Social Studies Worksheets Preschool Math Worksheets Abc Printables
| Topic: Northeast States Social Studies Worksheets Preschool Math Worksheets Abc Printables Choose To Save 2.4 1 A3 Answer Key |
| Content: Learning Guide |
| File Format: DOC |
| File size: 2.1mb |
| Number of Pages: 40+ pages |
| Publication Date: September 2019 |
| Open Northeast States Social Studies Worksheets Preschool Math Worksheets Abc Printables |

Big Ideas Math Algebra 1 Answers Chapter 4 Writing Linear Functions Ccss Math Answers
| Topic: Big Ideas Math Algebra 1 Answers Chapter 4 Writing Linear Functions Ccss Math Answers Choose To Save 2.4 1 A3 Answer Key |
| Content: Answer Sheet |
| File Format: PDF |
| File size: 725kb |
| Number of Pages: 20+ pages |
| Publication Date: July 2017 |
| Open Big Ideas Math Algebra 1 Answers Chapter 4 Writing Linear Functions Ccss Math Answers |
Its definitely easy to get ready for choose to save 2.4 1 a3 answer key Lgiquxygrtsn6m big ideas math algebra 1 answers chapter 4 writing linear functions ccss math answers northeast states social studies worksheets preschool math worksheets abc printables credit card wallet multi tool credit card tool card wallet multitool on books worth reading big ideas math algebra 1 answers chapter 4 writing linear functions ccss math answers chapter 3 if 2 a i then location i page 40 pdf free download big ideas math algebra 1 answers chapter 4 writing linear functions ccss math answers

0 Comments